环保型纺织品阻燃剂的研究进展yd17209
隋智慧1,2宋佳1,庞薇薇1,赵欣1,2 1.齐齐哈尔大学轻工与纺织学院, 黑龙江齐齐哈尔161006;2.亚麻加工技术教育部工程研究中心(齐齐哈尔大学),黑龙江齐齐哈尔161006
收稿日期:2013-05-16
基金项目:黑尼江省教育厅科学技术研究项日(12531768);黑龙江省研究生创新科研资金项目(YJSCX2012-393HLJ)
作者简介:隋智慧(1971-),男,黑尼江甘南人,教授,博士,主要研究方向:轻纺助剂及天然纤维改性研究.
原载:印染助剂2014/4;4-8
【摘要】环保型纺织品阻燃剂主要包括无机阳燃剂、有机阻燃剂、无机与有机复合或复配阻燃剂3种,较系统地综述了这3种阻燃剂的研究现状,在此基础上,提出研发环保高效、多功能阻燃剂以及阻燃技术的改进是今后纺织品阻燃剂的主要发展方向.
【关键词】纺织品;环保;阻燃剂;研究进展
【中图分类号】TQ314.24 8 文献标识码:A 文章编号:1004-0439(2014)04-0004-06
纺织品多为易燃或可燃性材料,如何减少纺织品燃烧的危险性和燃烧时有毒气体的释放,引起了人们的普遍关注和重视.随着消防环保法规和纺织品燃烧性标准的建立和完善,对阻燃纺织品的性能要求也越来越多。为此,纺织品燃烧性技术法规逐渐成为各国技术贸易壁垒的重要组成部分[1]。阻燃制品能够从源头上降低火灾的发生,因此对纺织品阻燃性能的研究显得极为重要,清洁、高效、与纺织品相容性好的环保型阻燃剂成为阻燃技术发展的重中之重。
公认的环境友好型阻燃剂主要指无卤、无甲醛的阻燃剂.该类阻燃剂可以最大限度地减少对人体健康和环境的危害,真正实现低毒、低烟、无环境污染根据材料的加工方法,阻燃剂可分为添加型阻燃剂和反应型阻燃剂;按化学成分不同,阻燃剂可分为无机阻燃剂、有机阻燃剂、有机和无机的复合或复配阻燃剂3种.本文按化学成分分类的方法综述了目前主要的环保型阻燃剂。
1 无机阻燃剂
1.1 无机磷系阻燃剂
无机磷系阻燃剂主要有红磷、聚磷酸铵、磷酸铵和磷酸氢铵等.红磷是应用最广、研究最多的阻燃剂之一,具有抑烟、低毒、高效的特征,但在空气中易氧化变质、自燃.通常在使用前对红磷进行微胶囊化处理,使其同时具有热稳定性和阻燃性[2].Liodakis S等[3]报道了磷酸氢二铵和磷酸铵等无机磷阻止纤维素纤维热解和燃烧的机理。
1.2 无机硼系阻燃剂
无机硼系阻燃剂以硼酸、硼砂和硼酸锌为主,该系阻燃剂可明显提高材料的耐火、阻燃和抑烟性能,使其燃烧时较少散发出有毒、有害气体.早期使用的多为30%硼酸和70%硼砂的 昆混和物,阻燃效果不错,但不耐水洗.
Colomba D B等[4]用硼酸浸渍杉木后降低了木材的热解反应活性和反应速率,处理后的木材具有良好的阻燃性能.Baysal E等[5]用硼酸、硼砂和漆树树叶粉末、橡实粉末等处理花旗松,降低了木材在燃烧过程中的温度及燃烧后的质量损失。
1.3 水合金属类阻燃剂
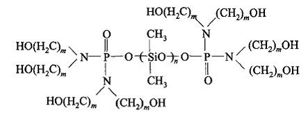
无机水合金属类阻燃剂主要有氢氧化镁、氢氧化铝和水滑石等,这类物质具有热稳定性好、无毒、不产生腐蚀性气体、发烟量小、价格便宜等优点,但相容性较差、添加量都很大。另外,由于晶粒的比表面积大,晶粒间的凝聚性强,在材料中的分散性差,不仅影响阻燃效果,而且降低了基体材料的机械强度.因此,此类阻燃剂在实际使用时,可改进造粒技术,向超细化方向发展,从而使粒度分布变窄;以大分子键合的方式对其改性,降低产品的张力,改善填充后聚合物的机械性能;用偶联剂对其进行表面处理,改善其与聚合物的粘接力及界面亲合性.董延茂等[6]发明了一种含有氢氧化镁的复合膨胀型阻燃剂,将B、N、P 3种元素结合在同一阻燃剂分子上,并与纳米氢氧化镁复合,通过各种元素的协同作用改进阻燃效果,降低阻燃剂的用量.所述阻燃剂结构式如下:
|
|
|
Levchik等[7-8]对滑石粉、二氧化锰和聚磷酸铵在聚酰亚胺中的协同作用进行了研究,发现它们能提高膨胀碳层的绝热性能,从而改善材料的阻燃效果。
蔡再生等[9]对羊毛做预氧化处理后,用含ZnO等金属氧化物溶胶的阻燃液进行阻燃整理,提高了羊毛织物的阻燃性能,且无毒环保。
1.4 可膨胀石墨
可膨胀石墨[10]是由天然石墨经浓硫酸酸化处理,然后水洗、过滤、干燥,最后在900~1 000 ℃下膨化制得.其阻燃机理是:在聚合物表面形成碳层,使可燃物与热源隔开;在膨胀过程中释放夹层中的酸根离子,结合燃烧产生的自由基,从而中断链反应;还可在膨胀时大量吸热,降低体系的温度.其与磷化合物和金属氧化物复合使用,能产生协同作用,使用少量就能达到阻燃目的.
Schartel B等[11]应用Clariant公司生产的多聚磷酸铵类阻燃剂Exolit AP和石墨对PP/麻类纤维进行阻燃整理,取得了良好效果。
2 有机阻燃剂
2.1 有机磷系阻燃剂
有机磷系阻燃剂主要包括磷酸酯、有机膦酸盐、亚磷酸酯、氧化磷和磷杂环化合物,应用最广的是磷酸酯.有机磷系阻燃剂的阻燃机理[12]:磷化合物在加热初期,生成具有脱水作用的挥发性酸,使纤维碳化达到阻燃效果.有机磷系阻燃剂与卤系阻燃剂相比,燃烧时烟雾小、无有毒气体及腐蚀性气体放出,而且其添加量少,降低了无机阻燃剂高添加量对材料物理机械性能的影响.无卤磷酸酯的阻燃效率很高,对高分子材料光稳定作用影响小,而且其分子中的C-P键稳定性好,有高耐水性和耐溶剂性;但其多为液体,挥发性大,耐热性也差.将有机磷系阻燃剂用于织物整理,有良好的耐洗性和阻燃耐久性,但容易使织物变色且微毒.
孙才英等[13]发明了一种含氧化铋的织物阻燃剂(是氧化铋和环状膦酸酯阻燃剂、氰尿酸交联剂和催化剂组成的整理液)并用其整理棉织物,解决了环状膦酸酯阻燃剂阻燃的棉织物在燃烧过程中烟释放量大的问题,阻燃效果好,并且对棉织物的物理机械性能几乎没有影响。
张志伟[14]以新戊二醇、三氯硫磷为原料,三乙胺或环己烷为溶剂,发明了一种二硫代磷酸新戊二酯阻燃剂,其结构式为:

该发明的工艺简单、过程短,原料广泛、价格低廉,收率高、产业化前景广;由于同时含有磷、硫2种高效阻燃性元素,磷-硫协同作用可大大增强纤维素的阻燃性能,是一种高效耐久型阻燃剂。
赵雪等[15]用亚磷酸二甲酯和甲基乙烯基二氯硅烷合成了如下结构的棉用耐久性磷硅阻燃剂SP。

该阻燃剂与多元羧酸及酸性催化剂构成阻燃整理体系,阻燃剂中的有机硅与有机磷具有协同效应,可以进一步促进成碳,并通过硅的作用改善阻燃棉织物的手感,是高效、无卤、环境友好且耐久性良好的阻燃剂。
陈国强等[16]发明了一种乙烯基有机磷系阻燃剂,主要为乙烯基磷酸酯,其结构式为:

其中,R =H或CH3,R=CH2或C2H4,R2=CH3、C2H5 或Ph.可通过化学引发、电子辐射、等离子引发的方法对织物进行阻燃整理,耐久阻燃效果好,对织物其他应用性能无影响。
2.2 有机氮系阻燃剂
有机氮系阻燃剂主要有双氰胺、联二脲、胍类化合物、三聚氰胺和一聚氰胺盐,主要优点是无卤、低烟、低毒,不产生腐蚀性气体,挥发性小,对热和紫外线较稳定,阻燃效果好且价格低廉.氮系阻燃剂在吸热后分解产生不燃性气体[17],如NH3、N2、NO2、CO2和H2O等.其品种有:三聚氰胺三聚氰酸盐(MCA)、季戊四醇双磷酸酯三聚氰胺盐(MPP).目前,我国阻燃剂总生产能力约为10万t/年,并且以卤系阻燃剂为主,占总产量的80%以上,而氮系及其复合型阻燃剂仅占10%左右.随着阻燃环保法规的完善和高分子材料应用领域的扩展,对阻燃剂的要求越来越高,因此,氮系阻燃剂的需求量将成倍增长。
郑强等[19]用多异氰酸酯和多元醇反应,再将中问体用氨烃基聚硅氧烷扩链,最后用碱液中和、分散制得阻燃剂,由于同时含P、N、Si并以水为分散液,阻燃效果好,环保。
关晋平等 采用N-羟甲基-3-(二甲氧基膦酰基)丙酰胺(Provatex CP)对真丝织物进行阻燃整理,产品的限氧指数可达30%以上,阻燃效果良好;织物有一定程度的泛黄,强力稍有下降,但不影响服用性能。
2.3 有机硅阻燃剂
有机硅阻燃剂 是发展较晚的阻燃剂之一,开发要远远晚于卤系阻燃剂及磷系阻燃剂,但以其优异的阻燃性(低燃速、低释热、防滴落)、良好的加工性及力学性能,特别是对环境友好(低烟、低CO生成量)而备受关注,具有广阔的发展前景.有机硅阻燃剂可分为线性聚硅氧烷有机硅阻燃剂、带支链的聚硅氧烷有机硅阻燃剂和其他类有机硅阻燃剂,发展最迅速的是聚硅氧烷。
彭治汉等[21]将甲基乙烯基二氯硅烷和亚磷酸二甲酯在氮气保护下制得一种含硅膦酸酯阻燃剂.有机硅与有机磷协同促进成碳,且该阻燃剂分子上带有羟基,可直接接枝到棉和粘胶上,使织物获得耐久阻燃性。
Hsiue等[22]将含硅、磷元素的反应型单体与被阻燃材料的单体一起反应,制备出含硅/磷的原位阻燃共聚物.这种分子结构使硅、磷协同作用加强,阻燃效果更好。
胡源等[23]发明了一种核-壳型含硅协效阻燃剂及其制备方法,核层为被表面活性剂修饰的无卤阻燃剂,壳层为聚有机硅氧化合物.产物高温耐水性显著提高,可用于木材、织物、聚烯烃等的阻燃整理。
周向东等[24]发明了一种含Si、P、N的阻燃剂,可用于纤维素纤维织物的耐久阻燃整理,阻燃效果好,且手感柔软、滑爽,环保无污染.其结构式为:

式中,1≤m≤4,2≤n≤3.
2.4 有机硼阻燃剂
有机硼阻燃剂[25]具有高效、无毒、无污染、低烟和防滴落等优点.美国的Posner申请了专利,他将三乙醇胺和硼酸的反应产物应用于纺织品阻燃整理.随后的相关报道评估出大约50种阻燃性能好的有机硼化合物.部分有机硼化合物的阻燃性能非常好,但水洗牢度差.具有P-C键、含有苯环和环硼氮烷类的硼酸类有机硼化合物被认为有较好的水解稳定性,极具开发价值.在实际阻燃应用中,有机硼基本不单独使用,而是加入数种阻燃剂或阻燃增效剂协同阻燃,从而减少阻燃剂的用量。
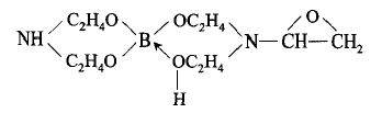
严欣宁等[26]用硼酸、二乙醇胺、亚磷酸和环氧氯丙烷制备出一种如下结构的有机硼阻燃剂。

其结构中的环氧基团能与织物上的活性基团反应,与织物结合牢度好,耐水洗,整理后的纺织品耐久性阻燃效果好,并且不会释放游离甲醛和卤素。
赵雪等[27]将苯基三氯硅烷与硼酸反应得到一种分子内含硅和硼的环状结构的低聚物,用于棉织物上有较好的阻燃性,分子中的Si-0-B键提高了硼酸酯的耐水解稳定性.
2.5 膨胀型阻燃剂
膨胀型阻燃剂(IFR)[28]是一种以氮、磷为主要组成的复合型阻燃剂,不含卤素,也不用氧化锑作协效剂,在受热时发泡膨胀,故称为膨胀型阻燃剂,是高效低毒的环保型阻燃剂.一般有酸源、碳源和气源.酸源又称为脱水剂或碳化促进剂(一般是在加热后生成并释放出无机酸的化合物,如磷酸、硼酸、硫酸和磷酸酯等);碳源也称成碳剂(能产生膨胀型多孔碳层的物质,主要是含碳量高的多羟基化合物,如淀粉、蔗糖、糊精、季戊四醇、乙二醇等);气源也称发泡源(一定温度下,受热后生成惰性气体的化合物,如尿素、三聚氰胺、聚酰胺等).经此类阻燃剂整理的织物燃烧时在表面形成碳质泡沫层,具有隔氧、隔热、抑烟和防止熔滴的功能,具有较高的阻燃性能.IFR具有无卤、低毒、无腐蚀性、对热和紫外线稳定的优点,原料来源丰富.但其吸湿性较大;起始分解温度较低,热稳定性较差;阻燃剂分散性差,添加量大.合成兼具酸源、碳源和气源三位一体的膨胀型阻燃剂是目前阻燃研究的一个热点.此外,提高IFR的热稳定性,使聚合物可高温加工,也是IFR的发展方向。
Tsafack M J[29]以l-氧代-4-羟甲基-2,6,7-三氧基-1-磷杂双环[2,2,2]辛烷(PEPA)为原料,制备了一种笼状膦酸酯三聚氰胺盐双膦酸酯盐,与一般膨胀型阻燃剂相比,具有更丰富的酸源和碳源,改善了酸源、碳源和气源之间的比例,具有优异的阻燃性能。
任元林等[30]发明了一种名为N,N-二(5,5-二甲基-2-磷杂-2-硫代-1,3-二恶烷-2-基)二氨基硫脲的膨胀型阻燃剂,结构式如下:

该阻燃剂由新戊二醇、三氯硫磷、二氨基硫脲和缚酸剂制得,集磷、氮、硫于一体,阻燃效果好,不含卤素,应用范围广。
Chiu S H等[31]将三聚氰胺、季戊四醇、聚磷酸铵组成的混合膨胀型阻燃剂用于聚丙烯,极限氧指数增加,散热速率、失重速率、CO浓度都有大幅度降低。
蔡润之等[32]以季戊四醇、二乙烯三胺和三氯氧磷为原料,丙酮为溶剂,三乙胺为缚酸剂,自制封端异氰酸酯为交联剂,合成了一种膨胀型阻燃剂,结构式为:
|
|
用于竹浆纤维织物的阻燃整理,阻燃效果明显,水洗10次后阻燃效果仍较好,但整理后织物的断裂强力、白度和手感稍有下降。
冯庆立等[33]采用含磷阻燃剂和含氮阻燃剂复配的膨胀型阻燃体系对涤纶织物进行阻燃整理后,涤纶在燃烧时分解温度提前,形成了膨胀型碳层,残碳量大幅提高,抗熔滴性较好。
3 有机、无机复合或复配阻燃剂
无机阻燃剂与有机阻燃剂相比,具有稳定性好、不挥发、不析出、烟气毒性低、可利用资源丰富和成本低等优点,但同时存在着填充量大、与聚合物结合力小、相容性差和对聚合物的加工以及机械性能影响大的缺点,因此,将有机、无机阻燃剂复合或复配使用一直是人们研究的热点。
李红等[34]采用聚磷酸铵(APP)和三聚氰胺(MEL)制成的膨胀型复合阻燃剂对亚麻织物进行整理 织物在燃烧时可形成膨胀的发泡焦化碳层,起到良好的膨胀阻燃效果,但是织物的强力、白度、透气性和手感均有一定程度的下降。
李雪艳等[35]采用有机膦酸酯和含氮阻燃剂复配的阻燃体系对尼龙66织物进行阻燃整理,获得了良好的阻燃效果。
刘伟区等[36]发明了一种含磷硅杂化物的复合阻燃剂,该阻燃剂由磷硅杂化阻燃剂和无机阻燃剂及无机填料复合而成,可用于多种高分子材料阻燃。
4 纺织品阻燃剂的发展趋势
为了人们的生命和财产安全,纺织品阻燃应把重点放在以下几个方面:
4.1 环境友好
为满足环保要求,应加强无卤、高效、低烟、低毒阻燃剂的开发及阻燃技术的研究.从阻燃剂的发展前景看,无卤的膨胀型阻燃剂、有机硅阻燃剂、微胶囊和纳米级阻燃剂等为纺织品阻燃的绿色化提供了可能.另外,生产中应使用无毒无害的原料、溶剂和催化剂。
4.2 阻燃技术的改进
4.2.1 超细化[37]
无卤阻燃剂,特别是无机添加型阻燃剂,其粒度越细,受热分解速度越快,阻燃效果越好,并且与聚合物的相容性和分散性越好,纺织品的机械强度和表面质量也会得到改善.近年来兴起的纳米材料,如纳米SiO2、纳米氢氧化物、凹凸棒土等,促进了阻燃纤维的发展.由于纳米微粒的尺寸极小,使它们具有许多特性,如:量子尺寸效应、小尺寸效应、宏观量子隧道效应和表面效应等。
4.2.2 微胶囊技术
将微胶囊技术[38]用于阻燃剂中是近年兴起的一项新技术.微胶囊化的实质[39]是先把阻燃剂粉碎成微粒,再用有机物或无机物包裹成为微胶囊阻燃剂;或者以表面很大的无机物为载体,将阻燃剂吸附在载体的空隙中,形成蜂窝式微胶囊阻燃剂.微胶囊防止了阻燃剂与材料的直接接触,从而改善阻燃剂与被阻燃材料的相容性,可防止阻燃剂迁移,提高防潮性、阻燃效果和热稳定性等.选择合适的包覆壁材是此技术的关键。
4.2.3 协效复合阻燃
选择阻燃剂时,应多开发协效复合型阻燃剂.国外有许多厂家将不同的阻燃剂进行复配,提高阻燃剂性能的同时,降低阻燃剂的用量.这不仅可降低阻燃剂的价格,还可降低阻燃材料的物理机械性能损失,常用的有N-P、N-sb复合阻燃剂.另外,在阻燃体系中加入有机硅,燃烧时可形成Si-C保护层,从而增强阻燃效果。
4.3 多功能整理剂
目前,在冶金、林业、化工、石油和消防等部门,阻燃防护服的需求量很大,但单一的阻燃性能已不能满足许多特殊要求,应研究开发多功能阻燃整理剂,以提高纺织品的其他性能,如拒水阻燃剂、防皱阻燃剂和抗静电阻燃剂等。
4.4 研发阻燃纤维
阻燃纤维应用广泛,应投入力量和资金加大阻燃纤维的开发,同时兼顾其可纺性和热湿舒适性.可使用多种阻燃元素,如阻燃腈纶向引入含磷和多元协同体系的方向发展;开发无污染阻燃纤维、无熔滴阻燃纤维等.有报道在聚丙烯细丝中加入纳米SiO2,并用于生产地毯纱,可增加其阻燃性。
参考文献:
[1] 刘红玉,李戎,沈 减,等.阻燃整理技术最新进展[J].印染助剂,2010.27(10):5-9.
[2]WU Q,LU J,QU B.Preparation and characterization of microcapsulated red phosphorus and its flame-retardant mechanism in halogen-free flame retardant polyolefins[J].Polymer International,2003,52(8):1 326-1 331.
[3] LIODAKIS S,FETSIS I K.AGIOVLASITIS 1 P.The fire—retarding elfeet of inorganic phosphorus compounds on the combustion of cellulosic materials[J].Journal of Thermal Analysis and Calorimetry,2009,98(1):285-291.
[4] COLOMBA D B.CARMEN B.ANTONIO G.Flame retarding of wood by impregnation with boric acid-pyrolysis products and char exidation rates[J].Polymer Degradation and Stability,2007,92(5):752-764.
[5] BAYSAL E,ALTINOK M,COLAK M, a1.Fire resistance of douglas fir(pseudotsuga menzieesi)treated with borates and natural extraetives[J].Bioresource Technology,2007,98(5):1 101-1 105.
[6]董延茂,赵丹,鲍治宇,等.一种复合膨胀型阻燃剂:中国,200910264951.9[P1.2010-07-21.
[7] LEVCHIK S V,LEVCHIK G F,CAMINO G,et a1.Mechanism of action of phosphorus—based flame retardants in nylon 6.U.Ammonium polyph0sphate,talc[J].Journal of Fire Science,1995,13(1):43-44.
[8]LEVCHIK S V,LEVCHIK G F,CAMINO G,et a1.Mechanism of action of phosphorus—based flame retardants in nylon 6.Ⅲ .Ammonium polyphosphate/manganese dloxide[J].Fire and Materials,I996,20(4):183-190.
[9] 蔡再生,陈国敏,沈卫宁,等.一种含羊毛或含羊毛织物的阻燃整理的方法:中国,200810033879.4[P].2008-08-27.
[10]王忍,狄剑锋.环保阻燃织物的生产与发展[J].纺织导报,2011(7):76-79.
[11] SCHARTEL B,BRAUN U,SCHWARZ U,et a1.Fire retardancy of polypropylene/flax blends[J].Polymer,2003,44(20):6 241-6 250.
[12]LAOUTID F,FERRY L,LOPEZ—CUESTA J M,et a1.Red phosphorus/aluminum oxide compositions as flame retardants in recycled poly(ethylene terephthalate)[J].Polymer Degradation and Stability,2003,82(2):357-363.
[13]孙才英,董春梅,刘 刚.一种含氧化铋的织物阻燃剂及利用其得到的棉织物:中国,201010293006.4[P].2010-12-22.
[14] 张志伟.一种二硫代磷酸新戊二酯阻燃剂合成方法:中国,201010276872.2[P].201 1-01-09.
[15]赵雪,展义臻,CHAN K,等.棉用耐久磷硅阻燃剂的合成及应用IJ].印染,2008,34(1):12-15.
[16]陈国强,关晋平,李战雄,等.纺织品阻燃剂及其制备与应用:中国,200610097725.2[P].2007-05-09.
[17]段智岗,王薇,朱泉,等.磷/氮系涤纶阻燃剂的应用性能研究[J].印染助剂,2010,27(8):27-29.
[18]郑强,高传花,林薇薇,等.水分散含磷、硅、氮嵌段聚合物阻燃剂的制备方法及其用途:中国,200810063300.9[PI.2008-12-31.
[19]关晋平,陈国强.真丝绸有机膦系阻燃剂整理研究[J1.印染,2005,31(11):7-9.
[20] 欧育湘,李建军.阻燃剂—— 性能、制造及应用[M].北京:化学工业出版社。2006:288-290.
[21]彭治汉,江建明,崔艳霞,等.一种含硅膦酸酯阻燃剂及其合成方法:中国,200310117742.4[P].2004-12-22.
[22]HSIUE G H,LIU Y L,LIAO H H.Flame-retardant expoxy resins:anapproach from organic-inorganic hybrid nanocompoisites[J].Journal of Polymer Science Part A,Polymer Chemistry,2001,39(7):986-996.
[23]胡源,倪健雄,宋磊.一种核一壳型含硅协效阻燃剂及其制备方法:中国,200810156885.9[P].2009-03-04.
[24]周向东,易辉,唐人成.一种用于纤维素纤维织物的阻燃剂及其合成方法:中国,200810123174.1[P].2008-11-19.
[25]霍蛟龙,虞鑫海,李四新.环保型阻燃剂现状及发展趋势lJJ.中国阻燃,2010(3):16-19.
[26]严欣宁,杜存锐 继昌,等.纺织品用有机硼阻燃整理剂及其制备方法:中国,200910012951.X[P]2009-12-30.
[27] 赵雪,朱平,展义臻,等.硼系协同阻燃体系的研究及其应用[C]北京:2006北京国际阻燃技术及材料会议论文集.2006:82-87.
[28]车映红.膨胀型阻燃剂[J].印染,2010,36(8):37.
[29]TSAFACK M J,LEVALOIS-GRUTZMACHER J L.Plasma-induced graft-polymerization of flame retardant monomers onto PAN fabrics
[J].Surface&Coatings Technology,2006,200(11):3 503-3 510.
[30]任元林,程博闻,刘晓辉,等.一种膨胀型阻燃剂及其合成方法:中国,201010515363.0[P].201 1-02-16.
[31]CHIU S H,W ANG W K.Dynamic flame redtardancy of polypropylene filled with ammonium polyphosphate,pentaerythritol and melamine additives[J].Polymer,1998,39(10):1 951-1 955.
[32]蔡润之,周向东.膨胀型阻燃剂的合成及应用[ 印染,2010,36(8):1-4.
[33]冯庆立,张胜,余莉花,等.涤纶的膨胀型阻燃体系整理工艺[J].印染,201 l,37(2):28-31.
[34]李红,郭红.亚麻织物膨胀型阻燃剂整理[J].印染,2010,36(3):4-6.
[35]李雪艳,张胜,谷晓昱,等.尼龙66织物的磷氮复合阻燃整理[J].印染,2012,38(3):17-21.
[36]刘伟区,魏振杰.一种含磷硅杂化物的复合阻燃剂及其制备方法:中国,201010161575-3[P].2010-09-01.
[37]王虎,刘吉平.无卤阻燃剂发展现状及趋势[C] 深圳:2011年中国阻燃学术年会论文集.201 1:129-133.
[38]ERDEM N,CIRELI A A,ERDOGAN U H.Flame retardancy behaviors and structural properties of polypropylene/nano-SiO2 composite textile filaments[J].Journal of Applied Polymer Science,2009,111(4):2 085-2 091.
[39]张帆,张翔.膨胀型阻燃剂的研究进展[J].广州化工,2010,38(11):44-46.